网站首页
新闻中心
走进灵宝
信息公开
政务服务
互动交流
国务院信息
农村危房改造
无障碍浏览
进入适老模式
首页
市政服务
公告公示
住房保障
农村危房改造
房屋征收与补偿
房产信息
办事指南
政策文件
首页
>
农村危房改造
> 正文
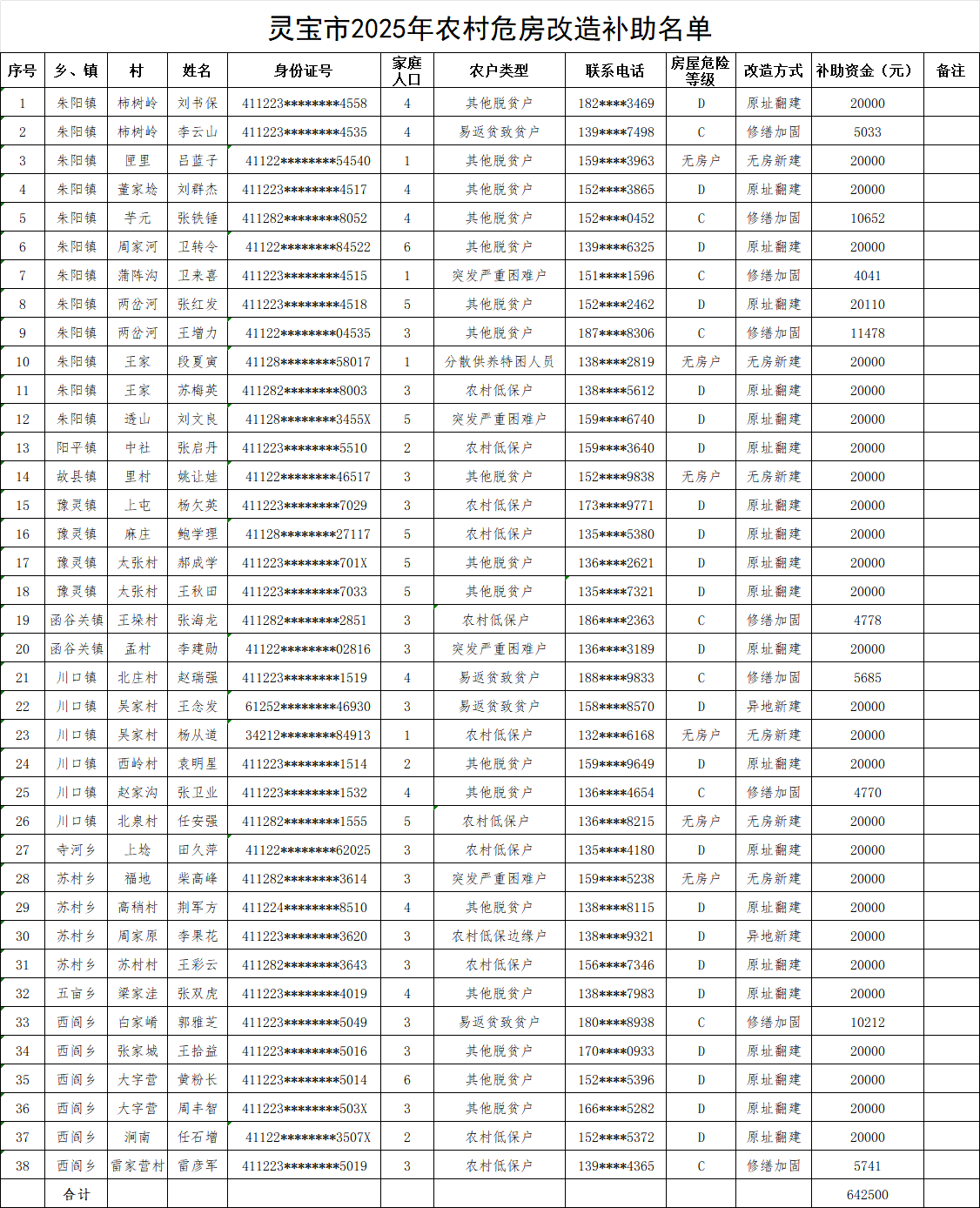
灵宝市2025年农村危房改造补助名单
发布日期:2025-12-31 10:07
来源:
灵宝市住房和城乡建设局
字体:
小
大
打印